|
|
供应 吡罗昔康-β-环糊精 /96684-39-8  |
规 格: |
淡黄粉状 |
价 格: |
190/元/公斤 |
数 量: |
100 公斤 |
交货地: |
江苏山东广东湖北四川 |
发布时间: |
2018-09-08 |
有效期: |
3天 |
备 注: |
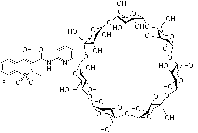
吡罗昔康-β-环糊精厂家|江苏山东广东湖北四川发货
产品名称:吡罗昔康-β-环糊精
CAS:96684-39-8
标准:企业标准
天然/合成:合成
级别:医药级
外观:淡黄粉状
包装:15KG/纸箱 可拆分
类别:医药原料
行业:医药
领域:消炎镇痛药
下延产品:消炎镇痛药剂膏剂
运用:按一定的比例将医药级的吡罗昔康与医药级的倍他环糊精包合精制而成,该包合物与吡罗昔康单体相比较,具有更低的气味、更强的稳定性、更平稳的药物释放速度等,主要应用于消炎镇痛药剂膏剂等。 |
结构式: |
 |
|
|